• Предмет: Геометрия
  • Автор: alimhankun
  • Вопрос задан 9 лет назад

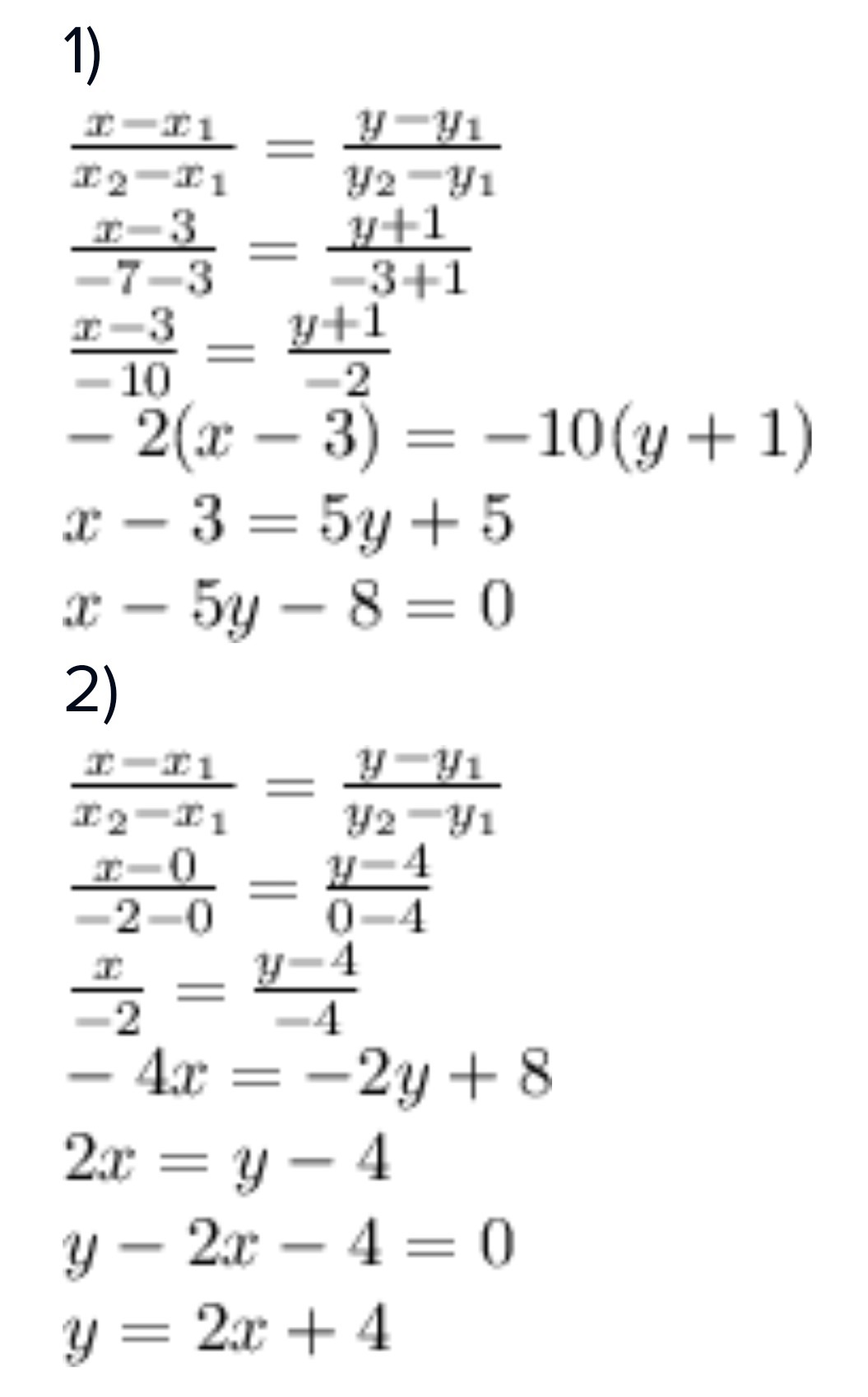
составьте уравнение прямой проходящей через точки A(3:-1) B(-7:-3)
еще один пример A(0:4) B(-2:0)

Ответы

Ответ дал: aliyas1
0
решение во вложенном файле
Приложения:
Вас заинтересует