• Предмет: Математика
  • Автор: ekaterinakudina1
  • Вопрос задан 8 лет назад

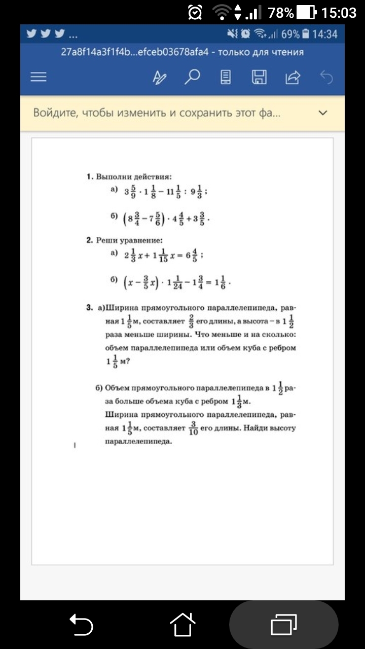
Помогите пожалуйста номер 3 и 4!

Приложения:

Ответы

Ответ дал: ELKOR12
0
Вот ответ этой задачи ответ: 2/3
Ответ дал: ekaterinakudina1
0
Можешь написать решение?
Вас заинтересует