• Предмет: Алгебра
  • Автор: musilinih
  • Вопрос задан 9 лет назад

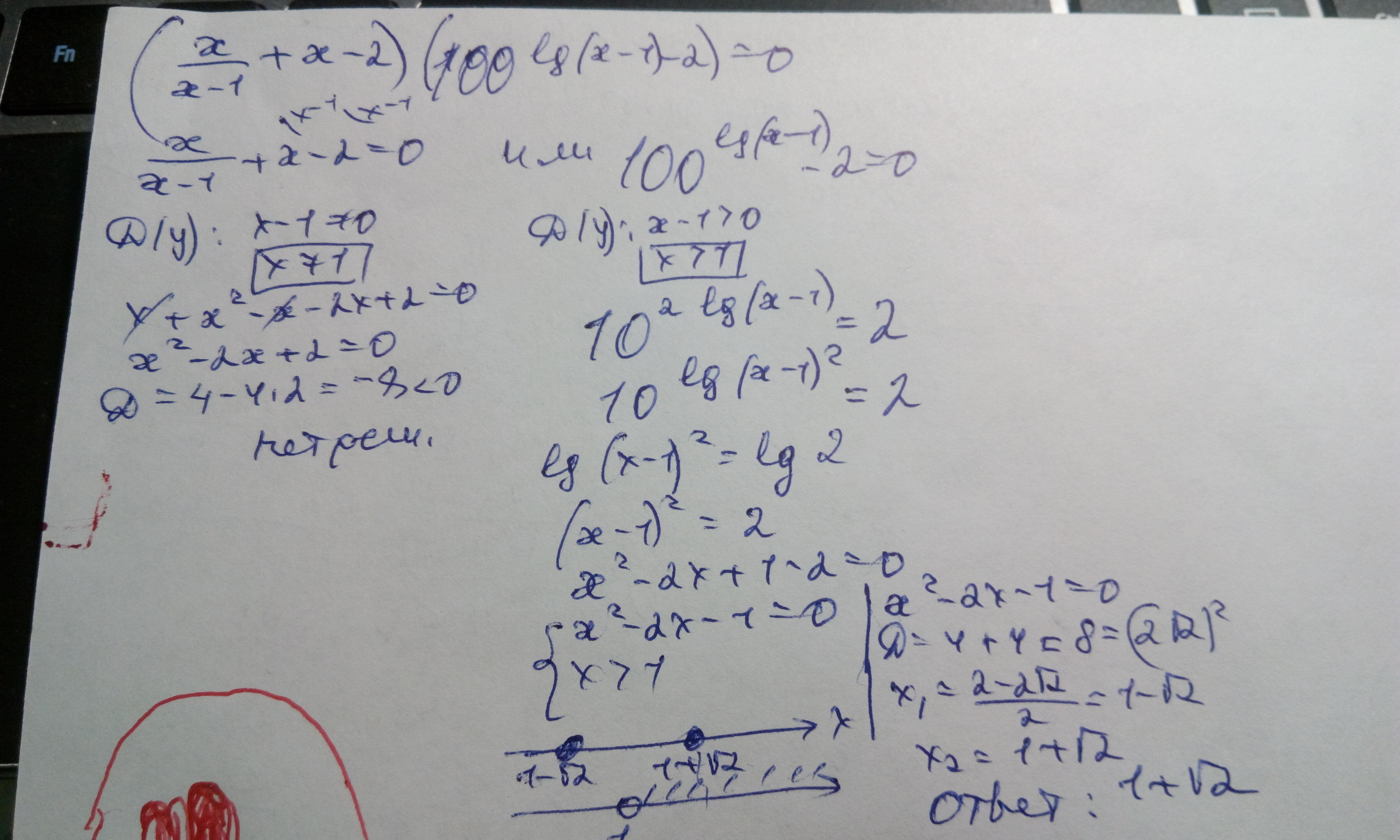
Решите на множестве R уравнение (x/x-1 + x-2) (100^lg(x-1) - 2)=0
Пожалуйста,помогите мне решить данное уравнение!

Приложения:

Ответы

Ответ дал: irinan2014
0
Решение дано на фото.
Приложения:
Вас заинтересует