• Предмет: Математика
  • Автор: matuzovasofia2005
  • Вопрос задан 9 лет назад

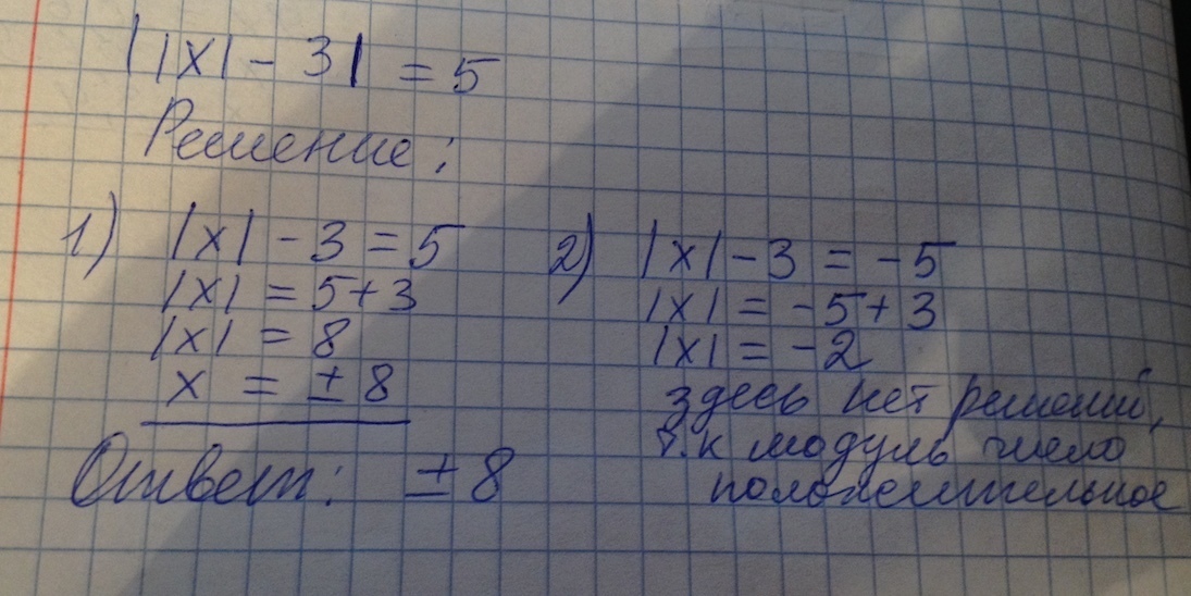
Решите уравнение ||x | − 3| = 5.
помогите пожалуйста!!!!!!!! прошу вас

Ответы

Ответ дал: natabyl
0
На фото предлагаю свое решение с пояснением.

| |x| - 3 | = 5
| x | - 3 = 5
| x |= 5+3
| x |= 8
x = 8
x = -8

Ответ: - 8, 8
Приложения:
Ответ дал: matuzovasofia2005
0
большое спасибо
Вас заинтересует