Помогите пж
Найдите Величину
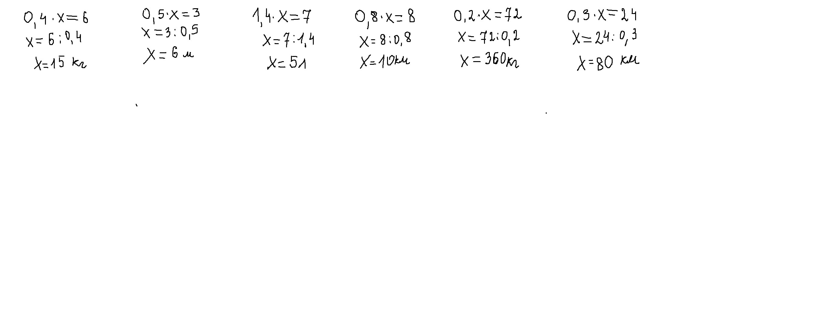
0,4 которой равен 6 кг
0,5 которой равен 3 м
1, 4 которой равен 7 л
0,8 которой равен 8 км
0,2 которой равен 72 кг
0,3 которой равен 24 км
Ответы
Ответ дал:
0
6/0.4=15(кг)
3/0.5=6(м)
7/1.4=5(л)
8/0.8=10(км)
72/0.2=360(кг)
24/0.3=80(км)
3/0.5=6(м)
7/1.4=5(л)
8/0.8=10(км)
72/0.2=360(кг)
24/0.3=80(км)
Ответ дал:
0
за 7 класс
Ответ дал:
0
понятно я в 6
Ответ дал:
0
круто
Ответ дал:
0
ладно пиши
Ответ дал:
0
окей
Ответ дал:
0
пусть это величина Х.
Приложения:

Ответ дал:
0
спс
Вас заинтересует
2 года назад
2 года назад
3 года назад
3 года назад
9 лет назад
9 лет назад