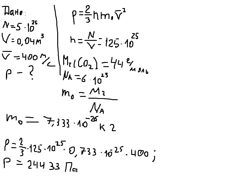
Какое давление на стенки сосуда производят молекулы углекислого газа (CO2), если в баллоне объемом 40 л содержится 5·1025 молекул, а средняя квадратичная скорость молекул 400 м/с?
Ответы
Ответ дал:
0
давление вышло 24433 Паскаль. надеюсь, все правильно. варианты ответов есть?
Приложения:

Ответ дал:
0
ой, не, не так. там не 2/3, а 1/3 , то есть ответ 12216,7 па
Ответ дал:
0
спасибо большое! не могла никак посчитать n
Вас заинтересует
2 года назад
3 года назад
9 лет назад
10 лет назад