Ответы
Ответ дал:
0
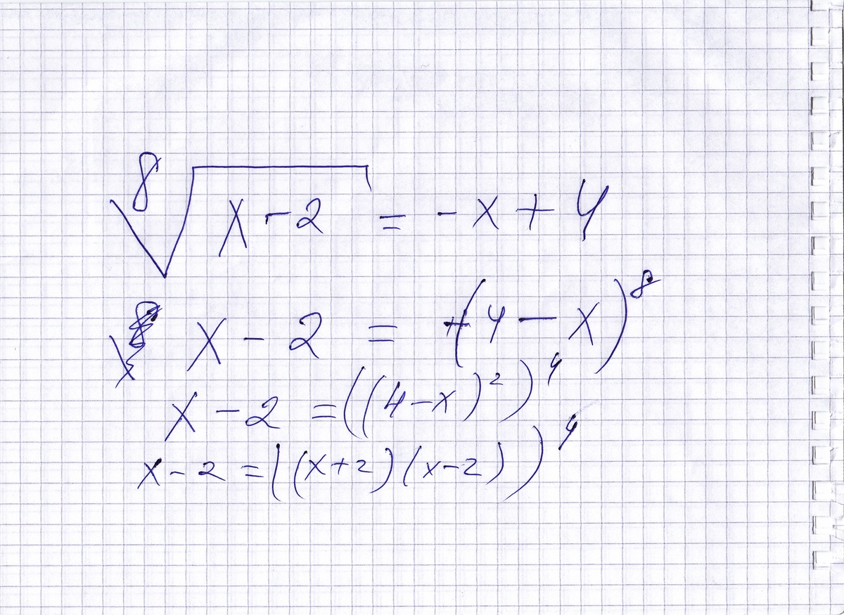
вы там не верно разложили, это не квадрат разности а сумма в квадрате!
Легче всего эту задачу решить двигаясь По ОДЗ уравнения обоих уравнений
![sqrt[8]{x-2} geq 0\
[2;+oo) sqrt[8]{x-2} geq 0\
[2;+oo)](https://tex.z-dn.net/?f=+sqrt%5B8%5D%7Bx-2%7D+geq+0%5C%0A++%5B2%3B%2Boo%29)
второе уравнение это график прямой , которая убывает на всей области Определения;
Так как первая функция это обратная парабола и она находиться на 2 четверти Плоскости ОХ, а график второй убывает ,то у них будет только две точки пересечения, одно из которых очевидно x=3,а вторая по графику видно равна ~5
Легче всего эту задачу решить двигаясь По ОДЗ уравнения обоих уравнений
второе уравнение это график прямой , которая убывает на всей области Определения;
Так как первая функция это обратная парабола и она находиться на 2 четверти Плоскости ОХ, а график второй убывает ,то у них будет только две точки пересечения, одно из которых очевидно x=3,а вторая по графику видно равна ~5
Ответ дал:
0
или методом итерация
Вас заинтересует
3 года назад
3 года назад
8 лет назад
8 лет назад
11 лет назад
11 лет назад
11 лет назад