помогите пожалуйста,очень нужно!
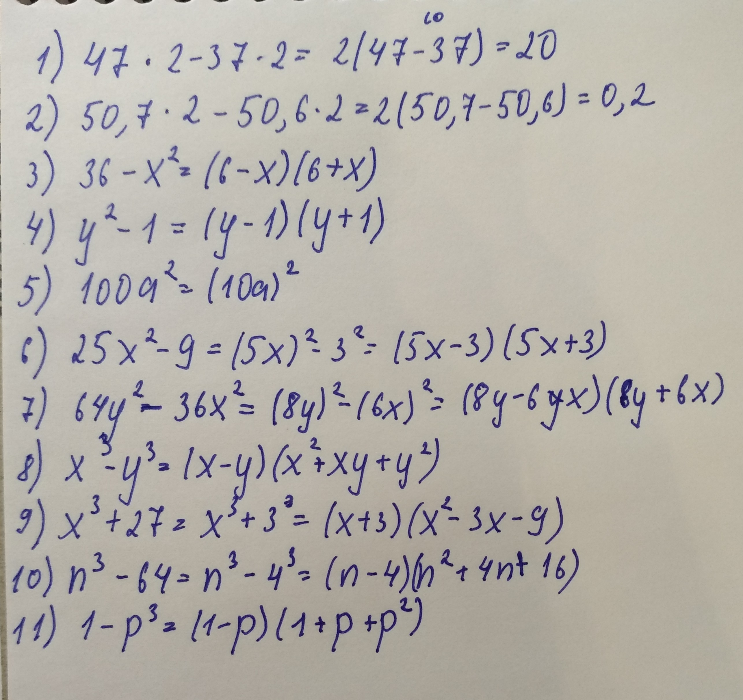
1) 47^2-37^2
2)50,7^2-50,6^2
Разложить на множители:
1)36-x^2
2)y^2-1
Представьте выражение в виде квадрата одночлена:
1)100a^2
Разложите на множители:
1)25x^2-9
2)64y^2-36x^2
3)x^3-y^3
4)x^3+27
5)n^3-64
7)1-p^3
Ответы
Ответ дал:
0
Я конечно не уверена что это за значок ^, но сделала так
Приложения:

Вас заинтересует
2 года назад
3 года назад
3 года назад
9 лет назад
10 лет назад
10 лет назад