Ответы
Ответ дал:
0
Решение в прикрепленном файле.
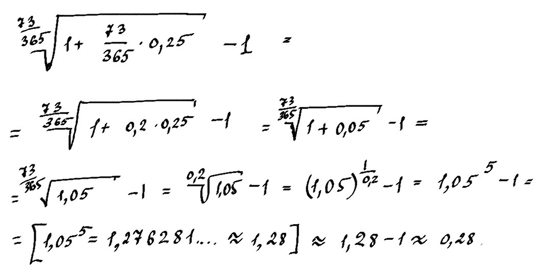
Я вычислила приблизительное значение, округлив до сотых, но ответ лучше оставить записанным в виде степени и дальше не вычислять, а то получается длинное некрасивое число.
Я вычислила приблизительное значение, округлив до сотых, но ответ лучше оставить записанным в виде степени и дальше не вычислять, а то получается длинное некрасивое число.
Приложения:
Ответ дал:
0
Большое спасибо, Вы очень помогли!!
Вас заинтересует
2 года назад
3 года назад
3 года назад
9 лет назад
9 лет назад
10 лет назад
10 лет назад