• Предмет: Химия
  • Автор: batirgireevasau1
  • Вопрос задан 9 лет назад

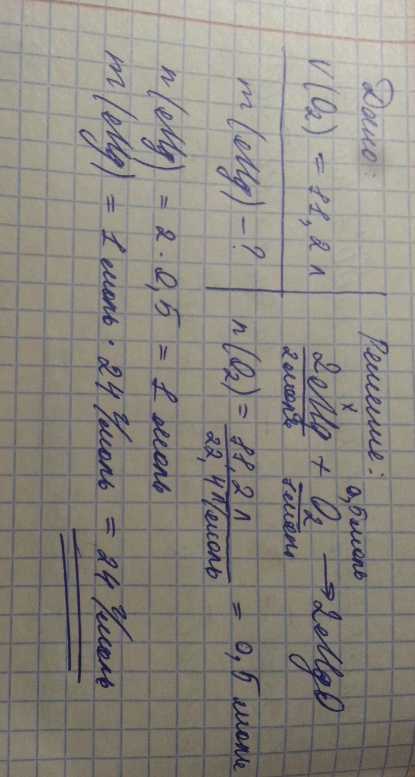
Задача

Помогите хэлп нужно срочно прошу вам да упоси божий что я несу

Приложения:

Ответы

Ответ дал: MizukiSt
0
.....................
Приложения:
Вас заинтересует