• Предмет: Математика
  • Автор: aidanurmukhanbe
  • Вопрос задан 9 лет назад

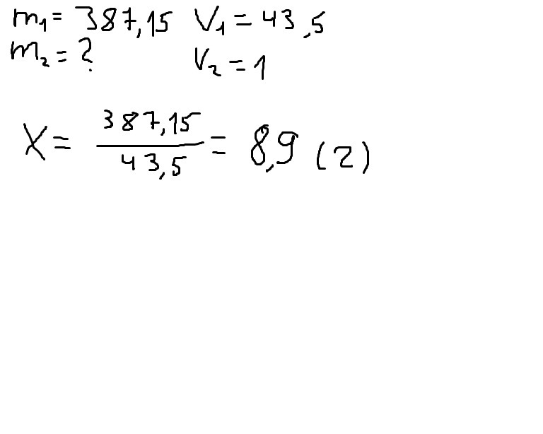
Медный брусок объемом 43, 5 см³ имеет массу 387, 15 г. Какая какова масса 1 см³ меди?
Пожалуйста Лучше сделайте на листочке если не на листке тогда я отмечу нарушение и у вас будет бан)))
И да не нужно копировать с других сайтов потомучто я уже все ответы посмотрела и нет ни одного нужного

Ответы

Ответ дал: webergangpoisonwind
0
ну вот так получается,
8,9 грамма

Приложения:
Ответ дал: jekadva
0
387,15 : 43,5 = 8,9г масса  1 см³ меди
Приложения:
Вас заинтересует