• Предмет: Алгебра
  • Автор: kdkdksjej3i38
  • Вопрос задан 9 лет назад

помогите 1-3 буду благодарен

Приложения:

Ответы

Ответ дал: mainaalikuliev1
0
Я напишу сразу ответы, так как это тестовая работа
1.б) 3.в)
Ответ дал: kdkdksjej3i38
0
аааа 2
Ответ дал: ayra7588
0
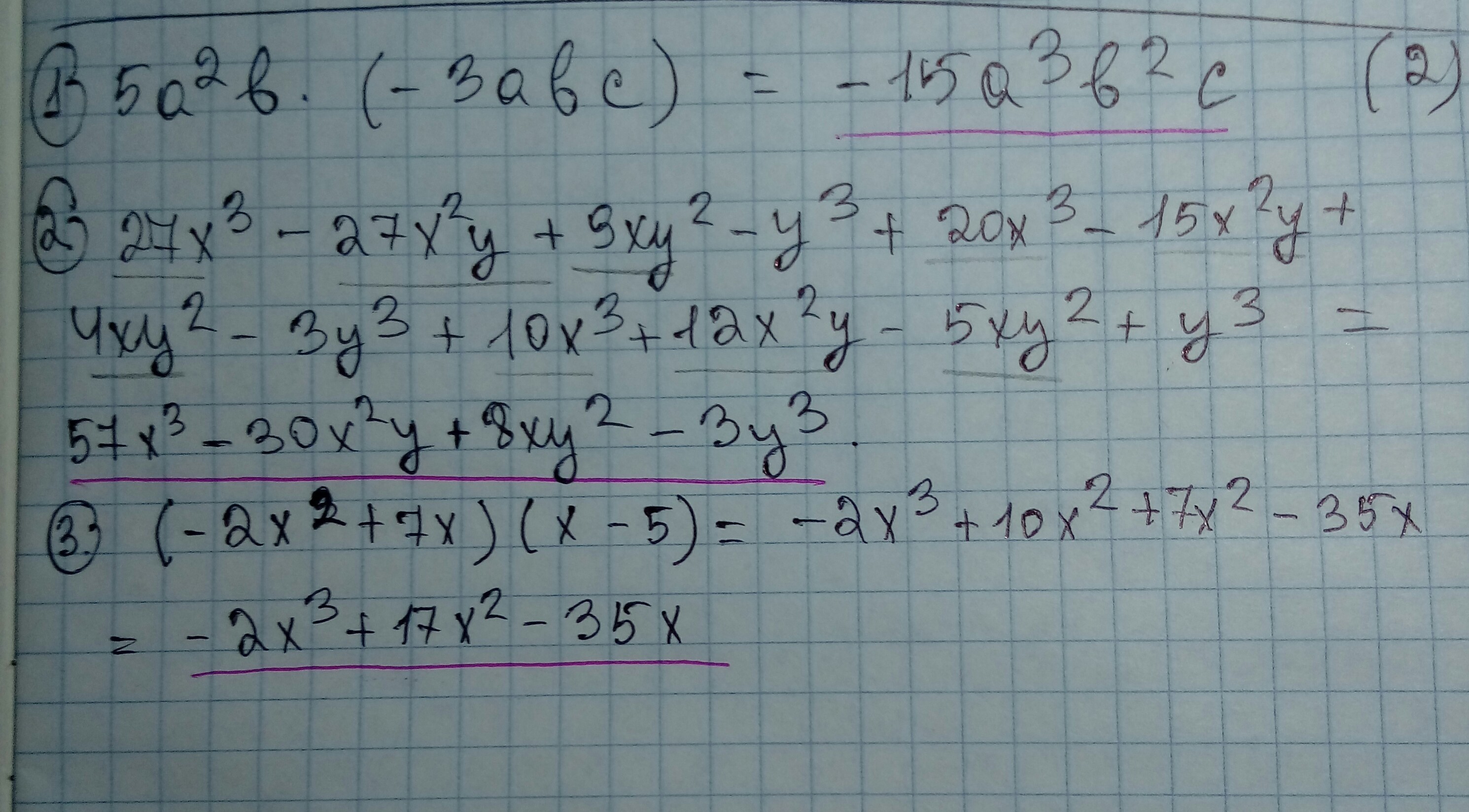
Вот решение.........
Приложения:
Ответ дал: ayra7588
0
ну ок...
Ответ дал: kdkdksjej3i38
0
и да 2 не правельно ??
Ответ дал: kdkdksjej3i38
0
(((
Ответ дал: ayra7588
0
почему?
Ответ дал: kdkdksjej3i38
0
мне выдало
Вас заинтересует