• Предмет: Алгебра
  • Автор: AssassinGold
  • Вопрос задан 9 лет назад

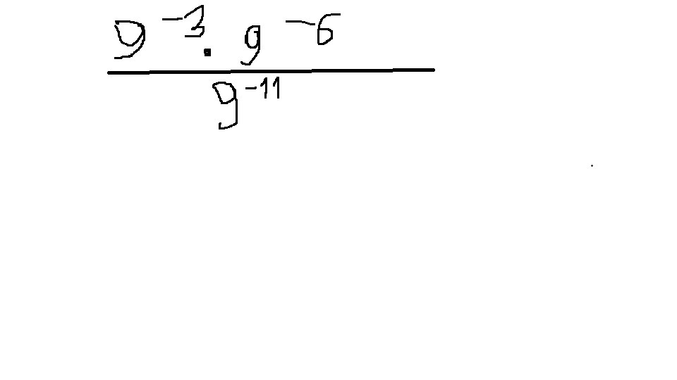
найдите значение выражения

Приложения:

Ответы

Ответ дал: aliyas1
0

 frac{ {9}^{ - 3}  times  {9}^{ - 6} }{ {9}^{ - 11} }  = frac{ {9}^{ - 9} }{ {9}^{ - 11} }   =  {9}^{ - 9 - ( -11)}  =  \  =  {9}^{ - 9 + 11}  = {9}^{2} = 81
Вас заинтересует