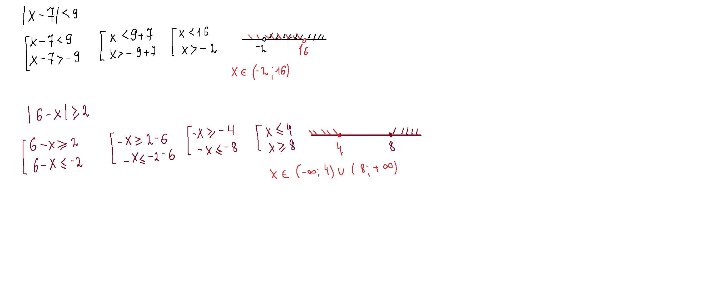
А) |х-7|<9
Б) |6-x|>или=2
решите неравенство
и распишите................. пожалуйста срочно
очень нужно
Ответы
Ответ дал:
0
смотри решение внизу
Приложения:

Вас заинтересует
2 года назад
3 года назад
3 года назад
9 лет назад
9 лет назад
9 лет назад
9 лет назад