Для следующих математических выражений запишите соответствующие арифметические выражения на паскале
Приложения:
Ответы
Ответ дал:
0
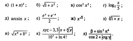
sqr(1+x) //a
sqrt(1+x*x) //б
sqrt(cos(x*x)) //в
ln(0.2*x)/ln(2) //г
arcsin(x) //д
(exp(x)+exp(-x))/2 //е
exp(ln(x)*sqrt(2)) //ж
exp(ln(1+x)*(1/3)) //з
sqrt(exp(ln(x)*8) + exp(ln(8)*x)) //и
//заменил 4! на 24, т.к. встроенной функции факториала не нашел
(x*y*z-3.3*abs(x+sqrt(sqrt(y)))) / (10000000 + ln(24)) //к
//для меня загадка, почему в fp не ctg; заменил на 1/tg
(b + sqr(sin(sqr(pi*pi))))/cos(2 + abs(1/tan(g))) //л
sqrt(1+x*x) //б
sqrt(cos(x*x)) //в
ln(0.2*x)/ln(2) //г
arcsin(x) //д
(exp(x)+exp(-x))/2 //е
exp(ln(x)*sqrt(2)) //ж
exp(ln(1+x)*(1/3)) //з
sqrt(exp(ln(x)*8) + exp(ln(8)*x)) //и
//заменил 4! на 24, т.к. встроенной функции факториала не нашел
(x*y*z-3.3*abs(x+sqrt(sqrt(y)))) / (10000000 + ln(24)) //к
//для меня загадка, почему в fp не ctg; заменил на 1/tg
(b + sqr(sin(sqr(pi*pi))))/cos(2 + abs(1/tan(g))) //л
Вас заинтересует
2 года назад
2 года назад
3 года назад
9 лет назад
9 лет назад
10 лет назад