Помогите прошу 463700:50+546*40
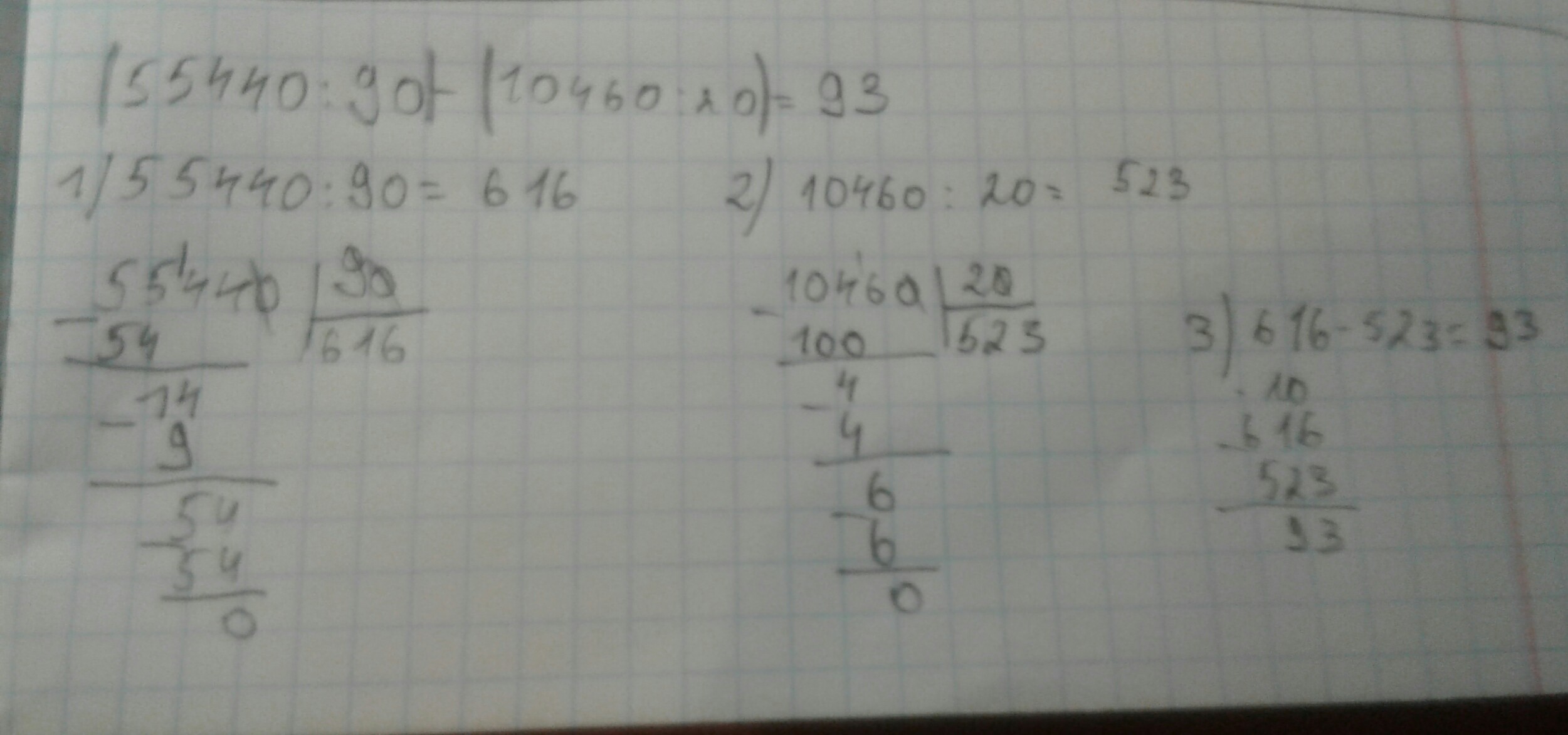
55440:90-10460:20
41090:70+11950:50
Нужно расписать по действиям например:5*5-5
1) 5*5=25
2) 25-5=20
Дам 10баллов
Заранее спасибо
                        
                            
                            
                    Ответы
                                            Ответ дал: 
                                                                                    
                                        
                                            
                                                
                                                
                                                
                                                    0
                                                
                                            
                                        
                                    
                                        еще сейчас скину))))
                                    
                                                Приложения:
                     
                            Вас заинтересует
                
                        2 года назад
                    
                
                        3 года назад
                    
                
                        3 года назад
                    
                
                        9 лет назад
                    
                
                        10 лет назад
                    
                
                        10 лет назад