Ответы
Ответ дал:
0
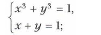
x^3+y^3=(x+y)(x^2-xy+y^2)=1
Делим первое на второе =>
x^2-xy+y^2=1
собираю
(x+y)^2-3y=1
x+y=1
1-3y=1
-3y=0
y=0
x=1
Делим первое на второе =>
x^2-xy+y^2=1
собираю
(x+y)^2-3y=1
x+y=1
1-3y=1
-3y=0
y=0
x=1
Ответ дал:
0
Спасибо огромное!
Вас заинтересует
2 года назад
2 года назад
3 года назад
3 года назад
9 лет назад