Ответы
Ответ дал:
0
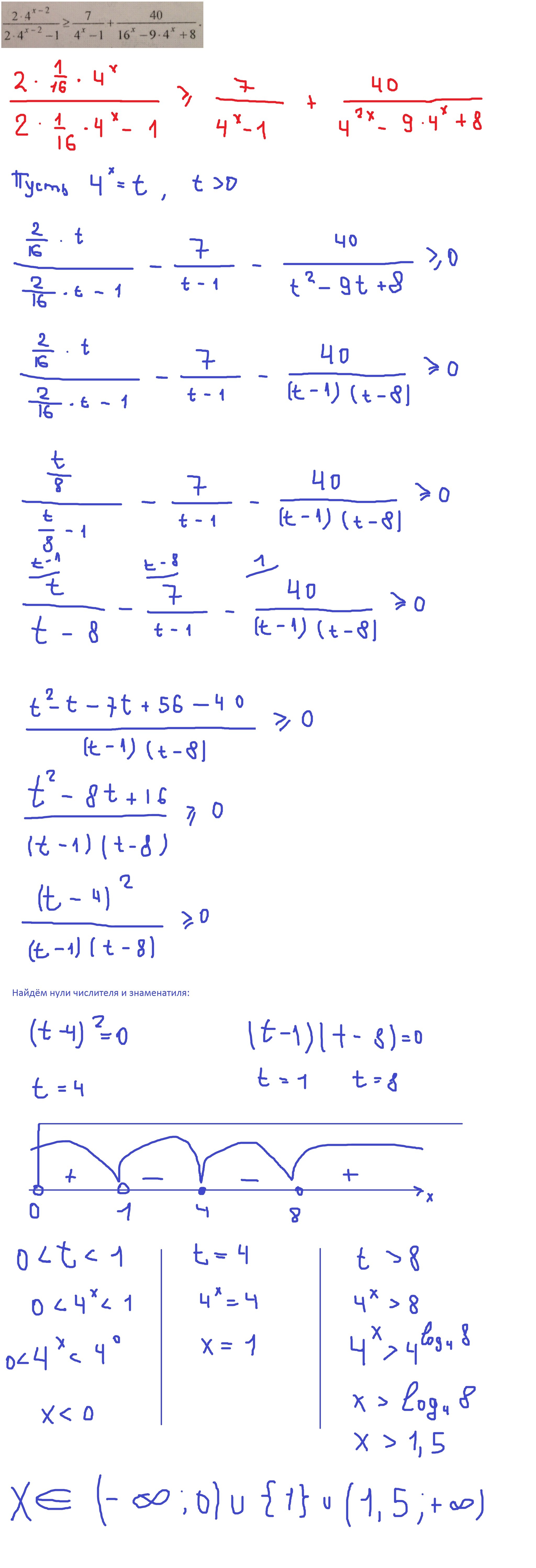
Готово! Ответ на фото: (перепроверьте окончательный ответ)
Приложения:

Вас заинтересует
2 года назад
3 года назад
3 года назад
9 лет назад
9 лет назад
10 лет назад