• Предмет: Математика
  • Автор: vladkotovdkotop3oi1d
  • Вопрос задан 9 лет назад

плезз решите очень надо

Приложения:

Ответы

Ответ дал: ulyanalarionovp4p4fi
0
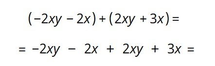
Ответ: х
т.к -2xy и +2xy взаимно уничтожаются
Вас заинтересует