Ответы
Ответ дал:
0
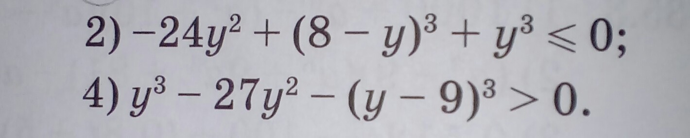
-24y²+(8-y+y)(64-16y+y²-8y-y²+y²)
Ответ дал:
0
Так все расписано
Короче первое это формула сокращённого умножения (кубы)
Втрое сокращаем -24у^2 и 24у^2
Далее 512 переносим в другую строну (с другим знаком)
И потом делим неравенство на -192 и меняем знак неравенства
Короче первое это формула сокращённого умножения (кубы)
Втрое сокращаем -24у^2 и 24у^2
Далее 512 переносим в другую строну (с другим знаком)
И потом делим неравенство на -192 и меняем знак неравенства
Приложения:
Вас заинтересует
2 года назад
2 года назад
9 лет назад
9 лет назад
10 лет назад