• Предмет: Математика
  • Автор: ole552
  • Вопрос задан 8 лет назад

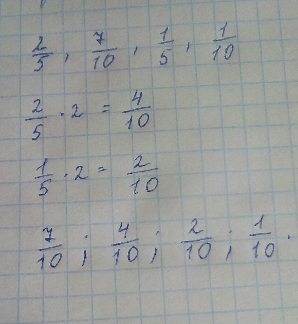
запиши обыкновенные дроби с разными знаменателями в порядке убывания. 2/5,7/10,1/5,1/10

Ответы

Ответ дал: supernaturalьная67
0
............................
Приложения:
Ответ дал: thisisersh
0
В порядке убывания, это значит, что сначала наибольшее значение

Это можно понять, например, как торт,

2/5, торт порезан на 5 кусков, а ты съел 2
Короче, 1/5, 2/5, 1/10, 7/10
Приложения:
Ответ дал: thisisersh
0
а нет, сейчас по другом решу
Вас заинтересует