• Предмет: Алгебра
  • Автор: anonim111222
  • Вопрос задан 9 лет назад

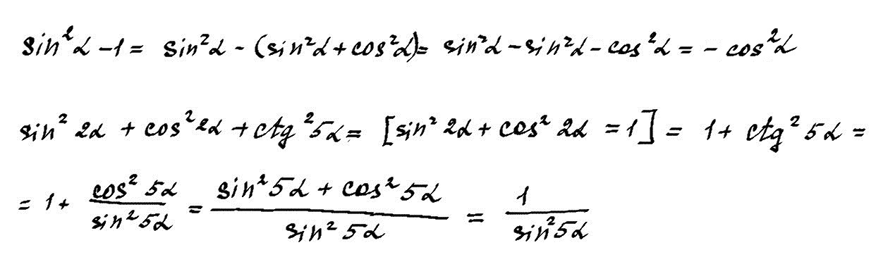
(sin^2)a-1=?
(sin^2)2a+(cos^2)2a+(ctg^2)5a=?

Ответы

Ответ дал: UluanaV
0
Решение в прикрепленном файле.
Приложения:
Ответ дал: anonim111222
0
спасибо,в первом наверное получится (-cos^2)a
Ответ дал: UluanaV
0
Да, верно. Я исправила.
Вас заинтересует