• Предмет: Математика
  • Автор: Пїтровіч
  • Вопрос задан 9 лет назад

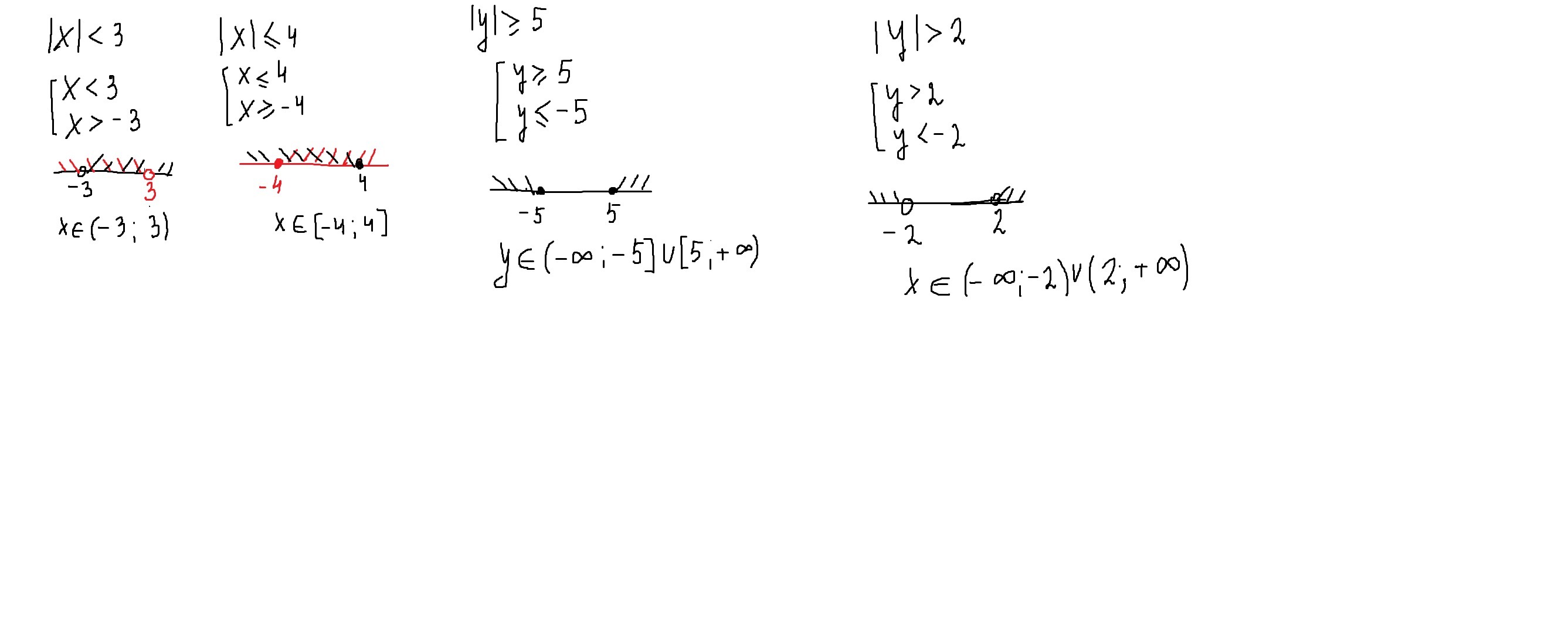
Решите неравенство и покажите на координатной прямой множество его решений: Помогите пожалуйста!

Приложения:

Ответы

Ответ дал: parus77
0
решение смотри внизу
Приложения:
Вас заинтересует