Помогите пожалуйста срочно надо!
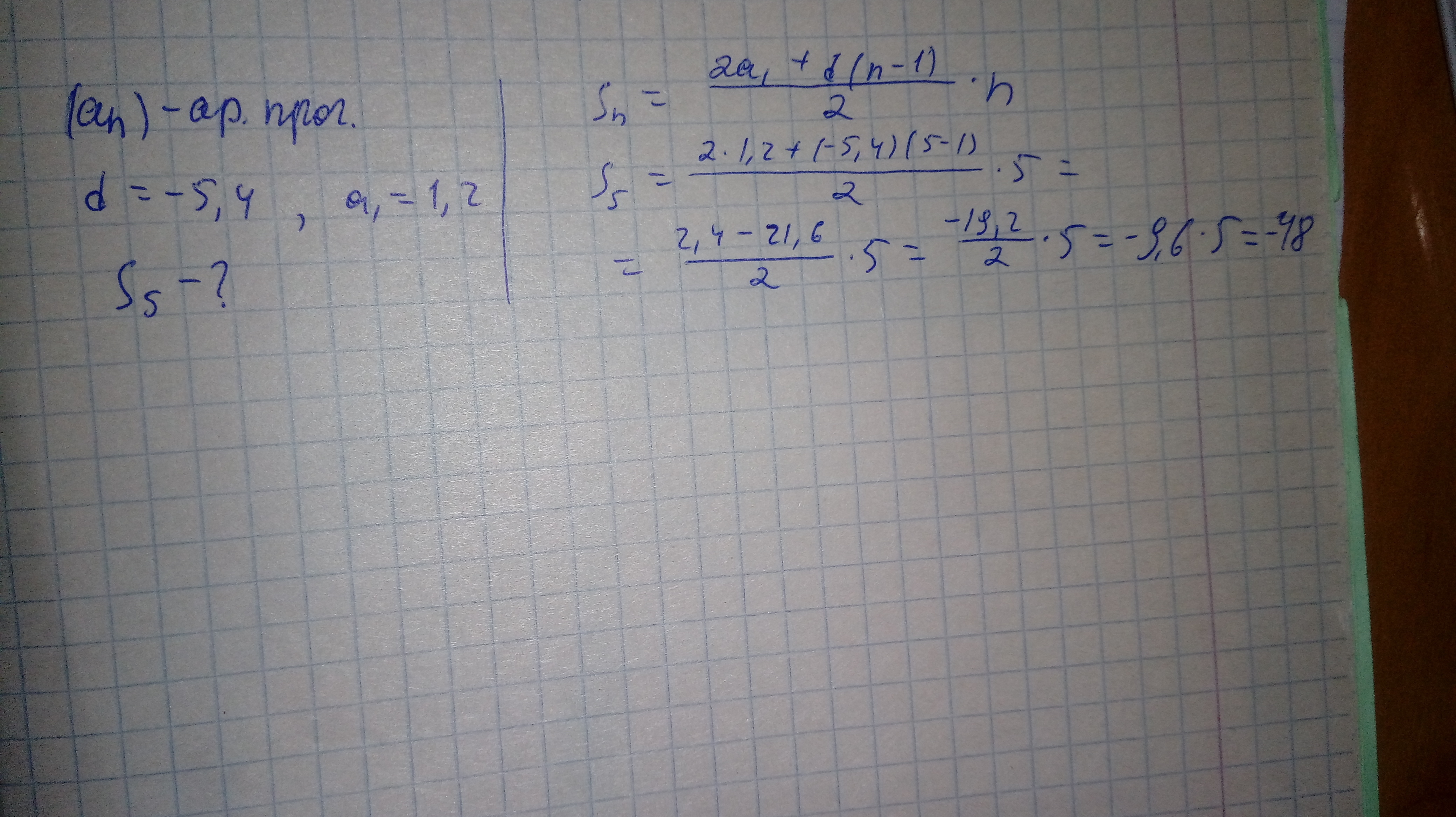
Дана арифметическая прогрессия (a^n),разность которой равна -5,4 , а^1=1,2. Найдите сумму первых 5 её членов. СРОЧН плиз!)
Ответы
Ответ дал:
0
Решение во вложении..................
Приложения:

Ответ дал:
0
Большое спасибо)
Вас заинтересует
2 года назад
2 года назад
3 года назад
3 года назад
9 лет назад
9 лет назад