• Предмет: Алгебра
  • Автор: thg20014
  • Вопрос задан 9 лет назад

Решите пожалуйста

корень из 2 cos^2x + cos x = 0

Ответы

Ответ дал: UluanaV
0
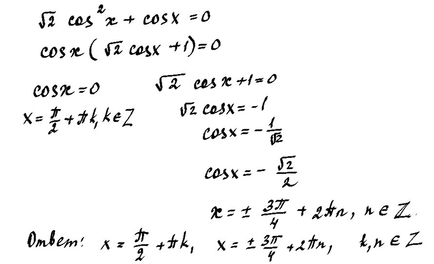
Решение в прикрепленном файле.
Приложения:
Ответ дал: adik61
0
tgx=-1 tgx=-6
Ответ дал: adik61
0
x=π/4+πn n∈Z
Ответ дал: adik61
0
x=-arctg(6)+πk k∈Z
Ответ дал: adik61
0
надеюсь все понятно
Ответ дал: thg20014
0
Спасибо большое
Ответ дал: adik61
0
√2cos²x+cosx=0
cosx(√2cosx+1)=0

cosx=0
cosx=-√2/2

x=π/2+πn         n∈Z
x=±3π/4+2πk   k∈Z
 
Приложения:
Вас заинтересует