• Предмет: Математика
  • Автор: ru5ikk
  • Вопрос задан 9 лет назад

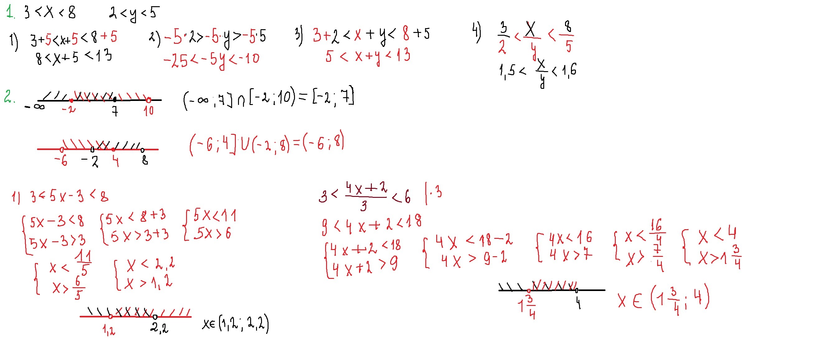
Решите всё пожалуйста! Заранее спасибо! Всё кроме четвёртого номера

Приложения:

Ответы

Ответ дал: parus77
0
решение смотри внизу
Приложения:
Вас заинтересует