Здравствуйте, помогите пожалуйста решить, а еще лучше - понять как решается этот пример.
Приложения:

Ответы
Ответ дал:
0
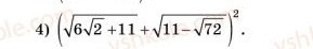
Ответ 22.
1. Возводим в квадрат 6√2+11+11-√72
2. Шестёрку вносим под корень 6²=36. √36•2=√72
3. √72-√72+11+11=22
1. Возводим в квадрат 6√2+11+11-√72
2. Шестёрку вносим под корень 6²=36. √36•2=√72
3. √72-√72+11+11=22
Вас заинтересует
2 года назад
3 года назад
3 года назад