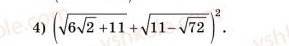
Здравствуйте, помогите пожалуйста решить, а еще лучше - понять как решается этот пример.
Приложения:

Ответа на этот вопрос пока нет. Попробуйте найти его через форму поиска.
Вас заинтересует
2 года назад
2 года назад
3 года назад
3 года назад
10 лет назад