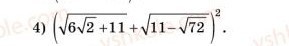
Здравствуйте, помогите пожалуйста решить, а еще лучше - понять как решается этот пример.
8 класс.
Приложения:
Ответа на этот вопрос пока нет. Попробуйте найти его через форму поиска.
Вас заинтересует
2 года назад
2 года назад
3 года назад
3 года назад
9 лет назад
9 лет назад