• Предмет: Алгебра
  • Автор: strongbuldakov
  • Вопрос задан 9 лет назад

Найдите скорость лодки в неподвижной воде, если скорость течения равна 3 км/ч. Лодка прошла по течению реки 36 км и вернулась обратно, потратив на весь путь 5 часов.

Ответы

Ответ дал: kllhgsthbbcfhj
0
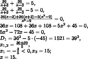
Решение точно такое,удачи
Приложения:
Вас заинтересует