• Предмет: Математика
  • Автор: Kurbanov888
  • Вопрос задан 9 лет назад

Найдите корень уравнения пожалуйста

Приложения:

Ответы

Ответ дал: tad5985
0
4 в степени -(х-3)= 4 в степени х
-(х-3)=х
-х+3=х
-х-х+3=0
-2х=-3
х=3/2
х=1,5
Ответ дал: srzontmp
0

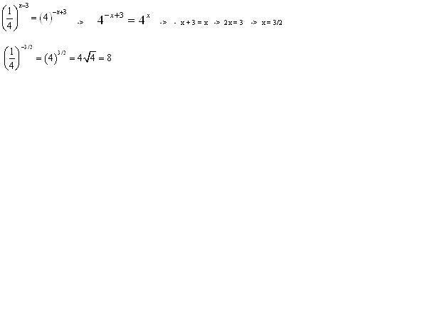
   Решение в прикрепленном файле.

Приложения:
Вас заинтересует