Ответы
Ответ дал:
0
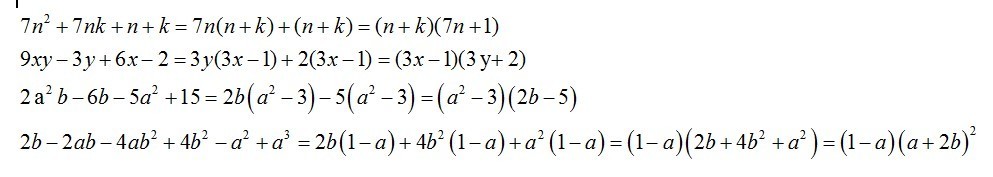
решение смотри ниже.
Приложения:

Ответ дал:
0
спасибо
Вас заинтересует
2 года назад
2 года назад
3 года назад
3 года назад
9 лет назад
10 лет назад