• Предмет: Математика
  • Автор: Республик
  • Вопрос задан 9 лет назад

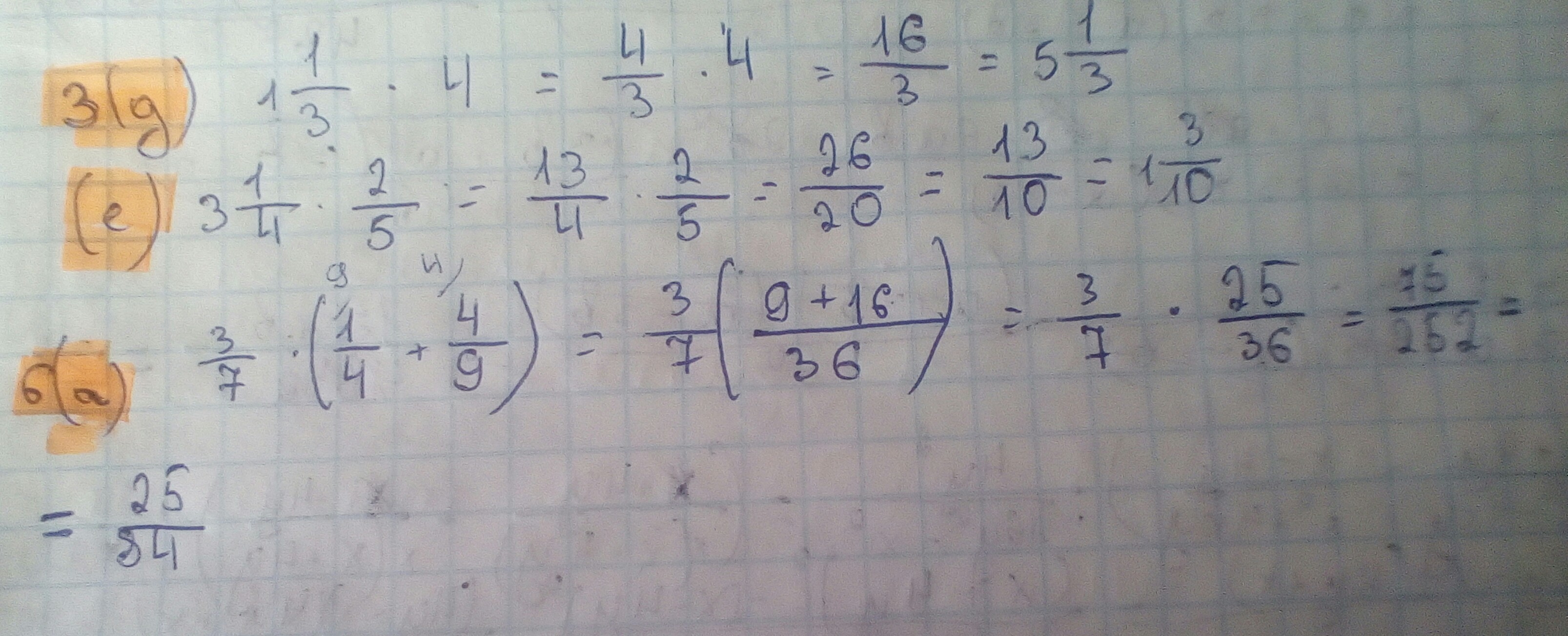
Номер 3 пункт 3 (д,е) номер 6 (а) сделайте полностью с решением

Приложения:

Ответы

Ответ дал: vinogradinka3
0
вот, надеюсь поймёшь)))
Приложения:
Ответ дал: Республик
0
Спасибо большое)
Ответ дал: vinogradinka3
0
не за что
Вас заинтересует