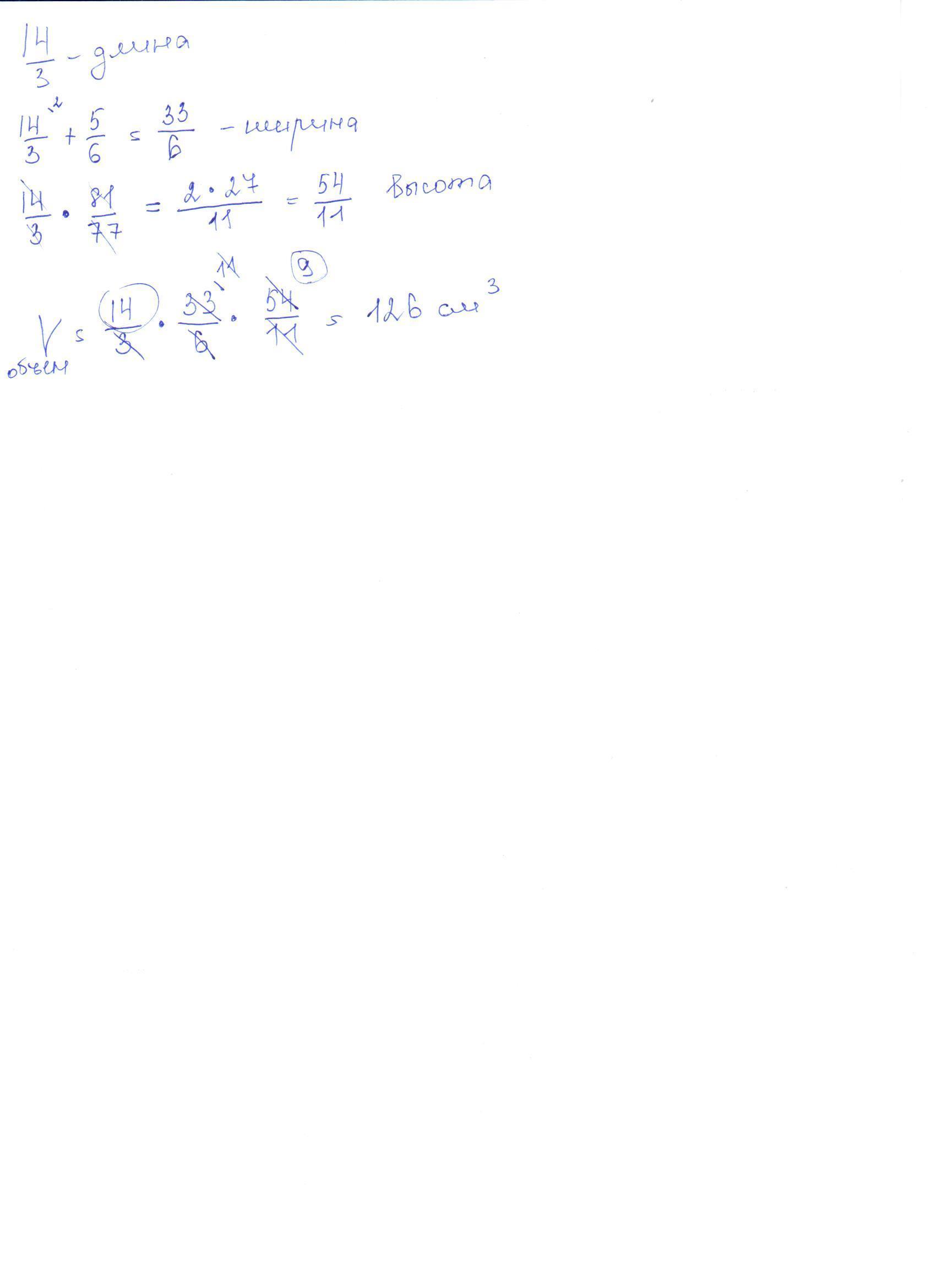
Длина прямоугольного параллелепипеда равна 4 2/3 см, что на 5/6 см меньше его ширины и в 1 4/77 раза меньше высоты. Найдите объём параллелепипеда.
ОБЪЯСНИТЕ ПЖ ЕСЛИ МОЖНО
Ответы
Ответ дал:
0
ну надеюсь так понятно будет
Приложения:

Вас заинтересует
2 года назад
2 года назад
3 года назад
3 года назад
9 лет назад
10 лет назад