Ответы
Ответ дал:
0
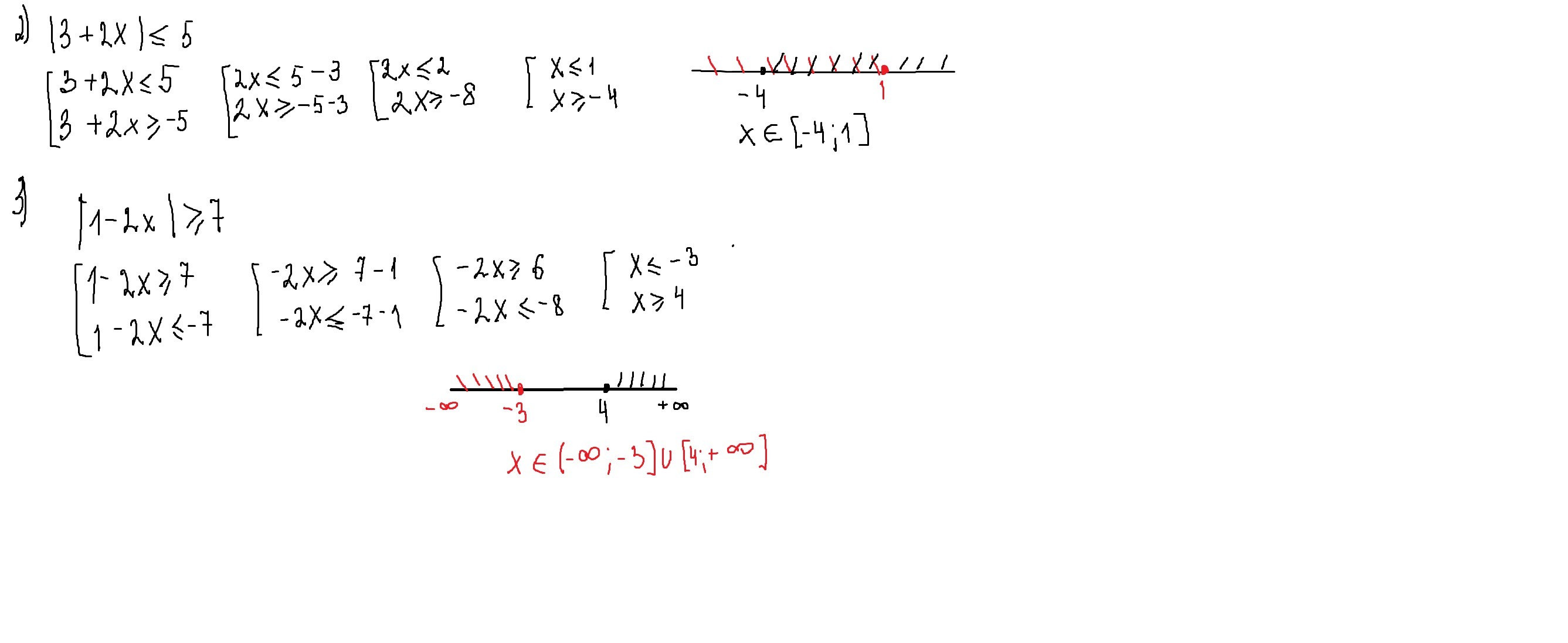
|3+2x|≤5
х>0
3+2х≤5
2х≤2
х≤1
х<0
3+2х≥-5
2х≥-8
х≥-4
2)
|1-2x|≥7
х>0
1-2х≥7
-2х≥6
х≤-3
х<0
1-2х≤-7
-2х≤-8
х≥4
х>0
3+2х≤5
2х≤2
х≤1
х<0
3+2х≥-5
2х≥-8
х≥-4
2)
|1-2x|≥7
х>0
1-2х≥7
-2х≥6
х≤-3
х<0
1-2х≤-7
-2х≤-8
х≥4
Ответ дал:
0
смотри решение внизу
Приложения:

Вас заинтересует
2 года назад
2 года назад
3 года назад
3 года назад
9 лет назад
9 лет назад
9 лет назад
9 лет назад