• Предмет: Математика
  • Автор: Аноним
  • Вопрос задан 9 лет назад

Помогите пожалуйста с 1 заданием ни как не могу его решить.Очень срочно !

Приложения:

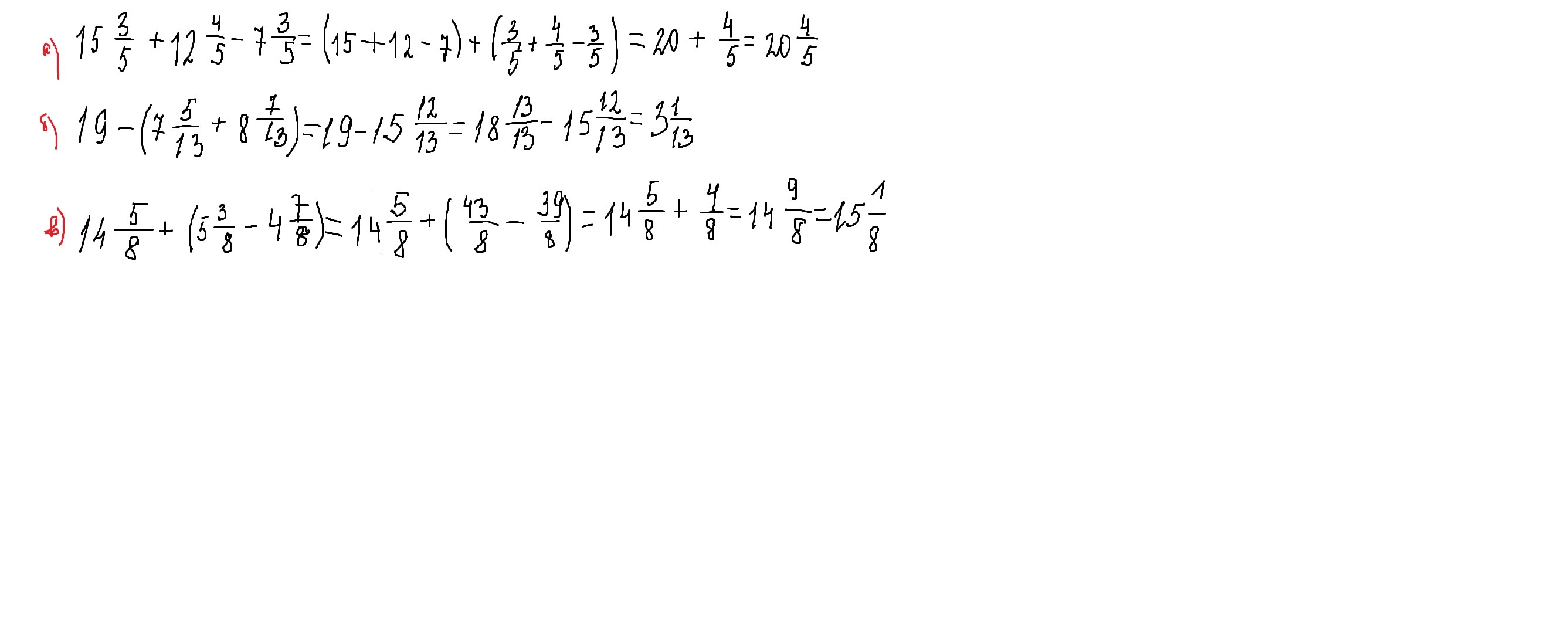
Ответы

Ответ дал: parus77
0
решение смотри внизу
Приложения:
Ответ дал: Аноним
0
СПС
Вас заинтересует