• Предмет: Математика
  • Автор: karaulova
  • Вопрос задан 9 лет назад

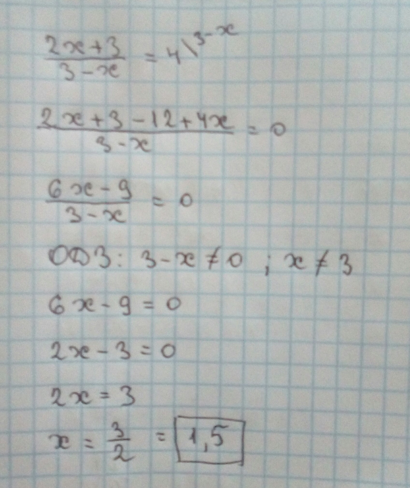
Помогите пожалуйста.... При каком значении переменой Х значение выражения 2х+3 /3-х равно 4?
А)4,5 в) 1 с) 1,5 Д) 4,5 Е) - 1,5
БУДУ ОЧЕНЬ БЛАГОДАРНА ВАММММММММ
Даю за это 27 б

Ответы

Ответ дал: rubilovalex
0
2x+3 / 3-x=4; 2x+3=4*(3-x); 2x+3=12-4x; 2x+4x=12-3; 6x=9; x=9/6=1,5. Ответ: буква: С).  
Ответ дал: karaulova
0
Спасибо
Ответ дал: ЯгодкаЯлесная
0
фоточка тебе в помощь ;)
Приложения:
Ответ дал: karaulova
0
Спасибо
Вас заинтересует