• Предмет: Алгебра
  • Автор: kazantsevaira2
  • Вопрос задан 9 лет назад

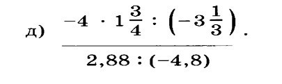
ПОЖАЛУЙСТА!!!ОДИН НОМЕР!!!
НАЙТИ ЗНАЧЕНИЕ ВЫРАЖЕНИЕ.ЗАРАНЕЕ СПАСИБО!!!!!!!

Приложения:

Ответы

Ответ дал: OSOTOVSKAYA
0
-4*7/4 : (-103)
__________
72/25 : (-24/5)


7* (-3/10)
________
72/25 * (-5/24)

-21/10
_____
-3/5

ответ -7/2


* умножить
/ дробь
Вас заинтересует