помогите разобраться с системой уравнений. надо решить эту систему способом СЛОЖЕНИЯ, но я не понимаю как, ведь x и y не друг под другом, как здесь можно что то убрать, т.е как можно уничтожить какой- нибудь элемент системы????
объясните пожалуйста и решите данную систему))))))
Приложения:
Ответы
Ответ дал:
0
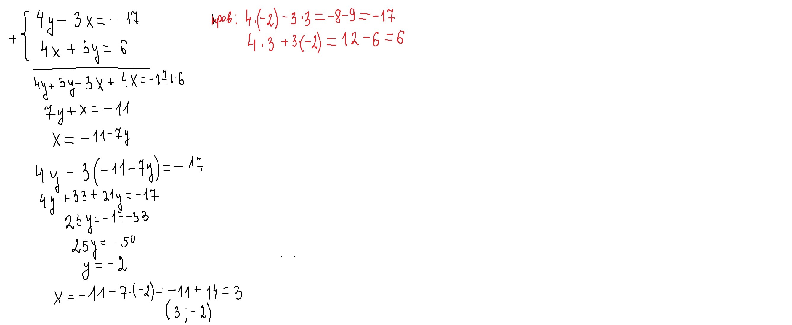
я смогла только упростить и выразить х через у ,и потом решить.
Приложения:
Ответ дал:
0
спасибо огромное)))
Ответ дал:
0
да не за что,это не сложно было.
Ответ дал:
0
4у-3х=-17 I*(4) Решение системы способом сложения.
3у+4х=6 I*(3)
16у-12х=-68
9у+12х=18 - сложим
25у=-50
у=-50/25
у=-2; подставим во 2 уравнение
3*(-2)+4х=6;
4х=6+6
х=12:4
х=3; ответ: (3;-2).
3у+4х=6 I*(3)
16у-12х=-68
9у+12х=18 - сложим
25у=-50
у=-50/25
у=-2; подставим во 2 уравнение
3*(-2)+4х=6;
4х=6+6
х=12:4
х=3; ответ: (3;-2).
Приложения:
Ответ дал:
0
Принимайте работу))))
Ответ дал:
0
спасибо=)))
Ответ дал:
0
Спасибо за оценку))
Ответ дал:
0
да не за что)) вам спасибо)
Вас заинтересует
2 года назад
2 года назад
3 года назад
10 лет назад
10 лет назад