• Предмет: Алгебра
  • Автор: OnixG
  • Вопрос задан 9 лет назад

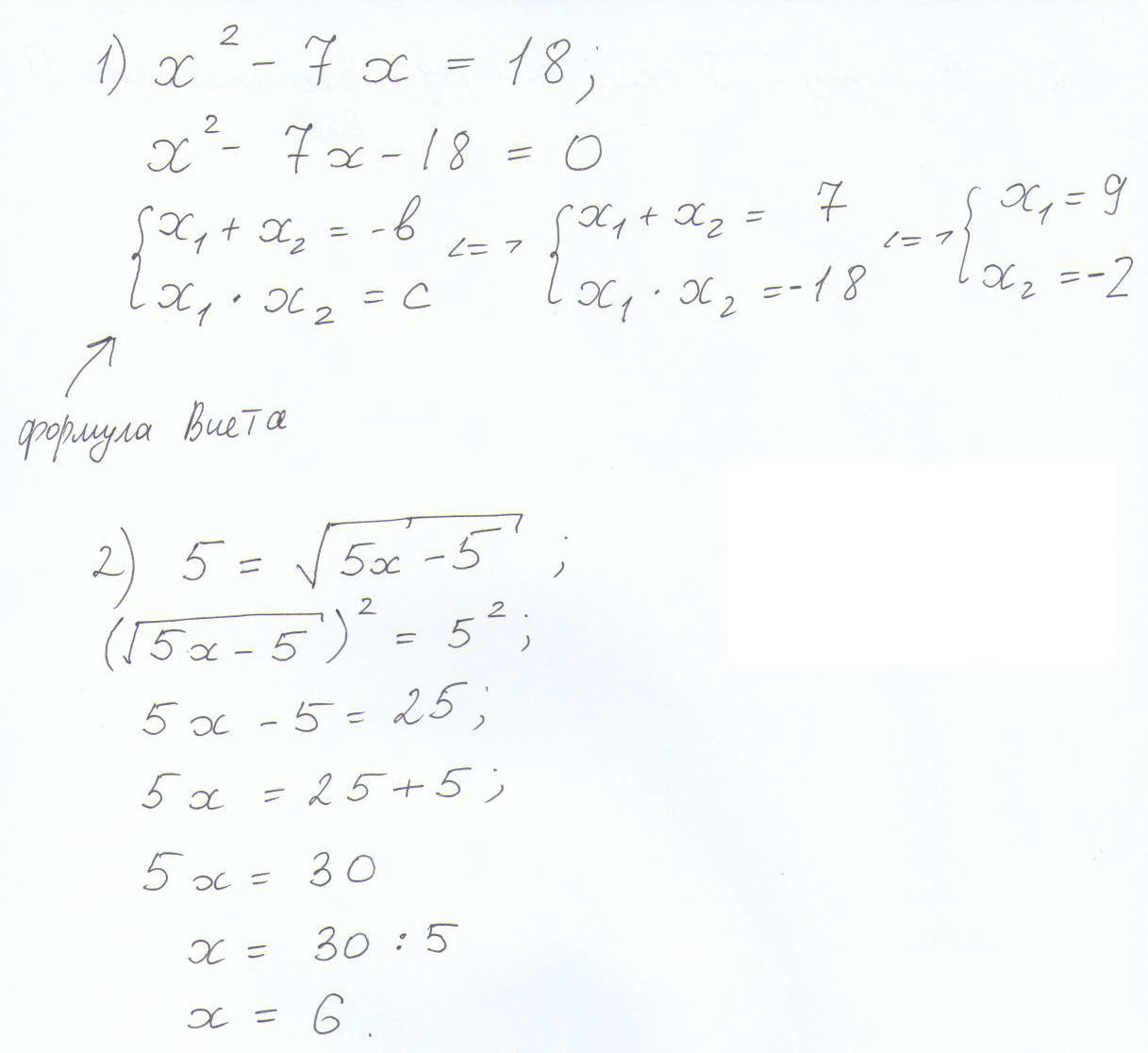
Найти корень уравнения подробно: x^-7x=18 и 5=корень из 5x-5

Ответы

Ответ дал: Алмаз11
0
Решение уравнений во вложении...
Приложения:
Вас заинтересует