• Предмет: Алгебра
  • Автор: v2017vadim
  • Вопрос задан 8 лет назад

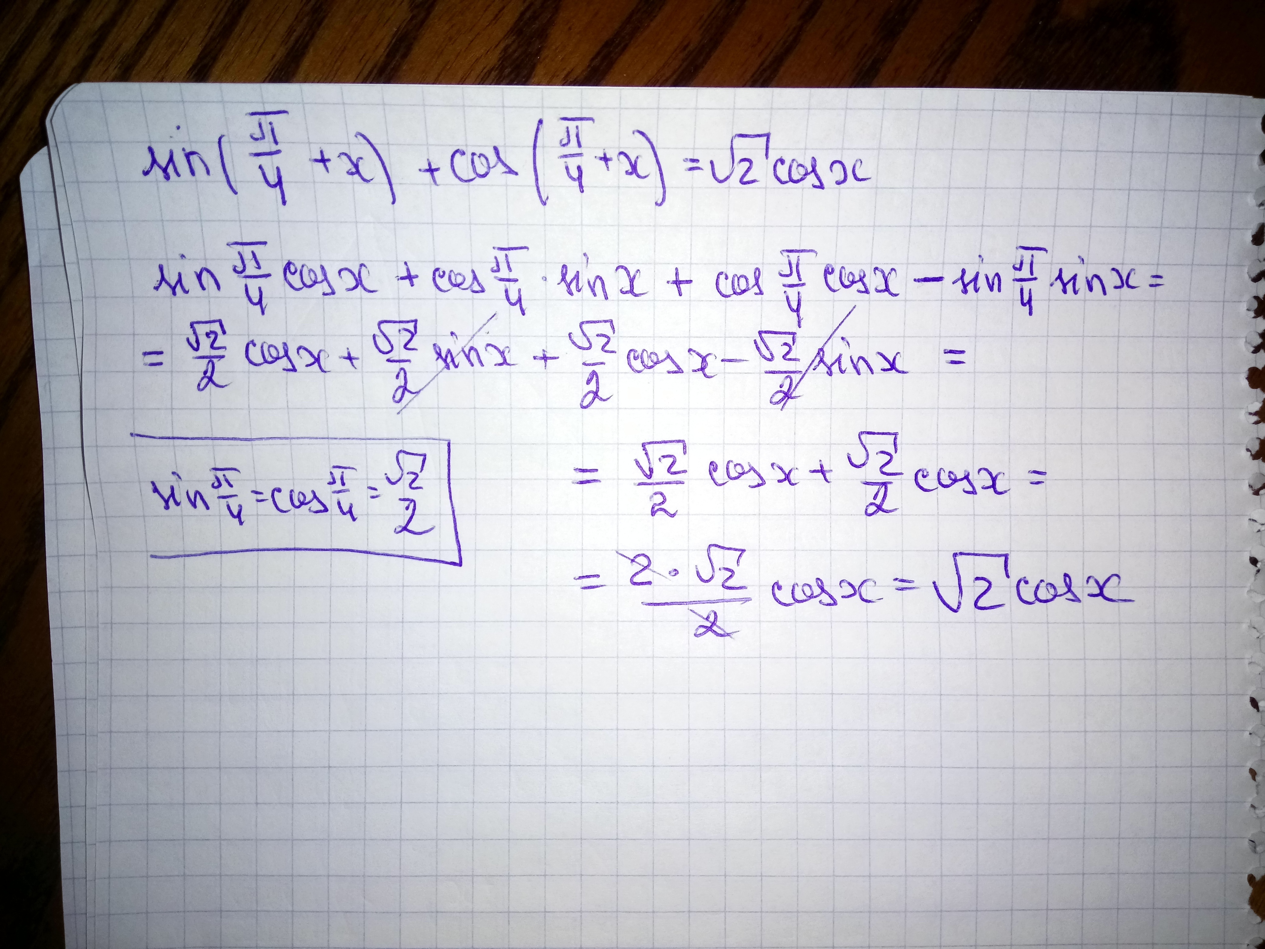
Доведіть тотожність sin (n/4 + x) + cos (n/4 + x)=корень2 cos x

Ответы

Ответ дал: valenivan
0
Решение задания приложено
Приложения:
Вас заинтересует