• Предмет: Алгебра
  • Автор: viktoriyamura
  • Вопрос задан 9 лет назад

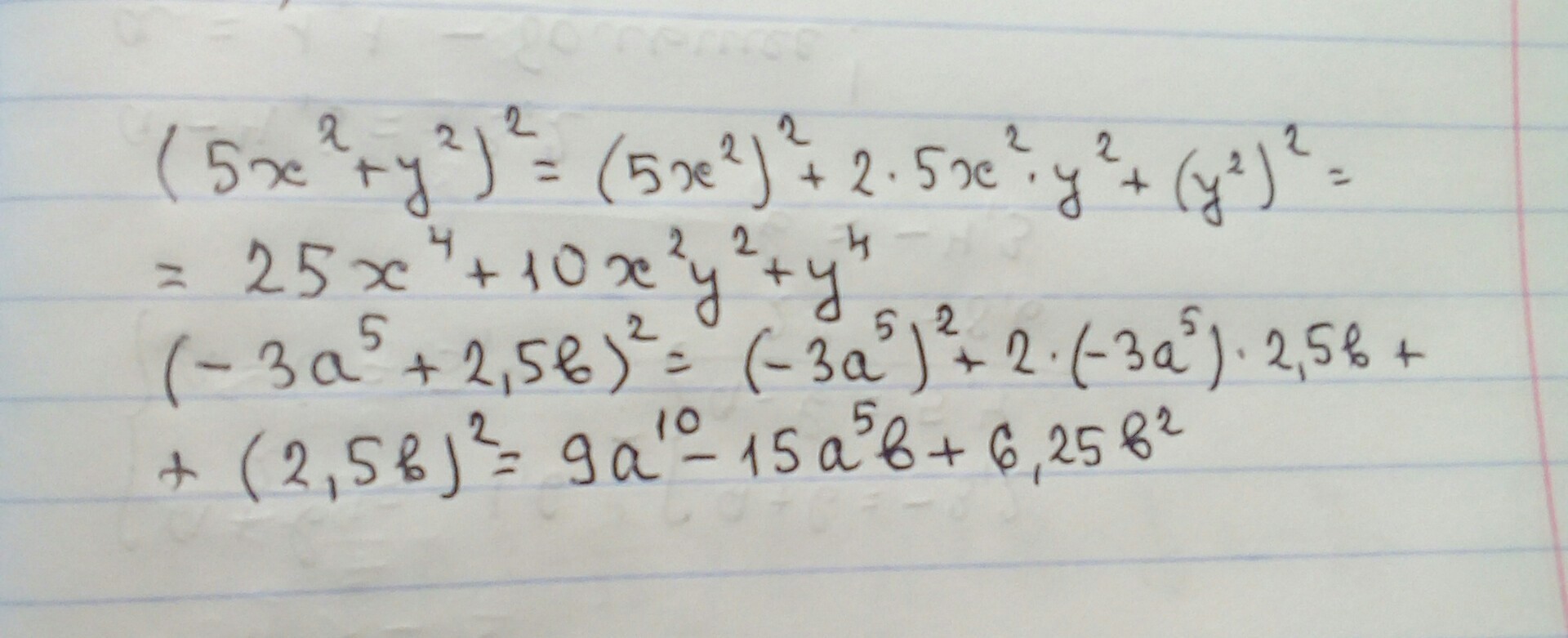
Раскройте скобки
(5x^2+y^2)^2
.
(-3a^5+2,5b)^2

Ответы

Ответ дал: ЯгодкаЯлесная
0
фоточка тебе в помощь ;)
Приложения:
Вас заинтересует