• Предмет: Математика
  • Автор: 11Сергеи2211
  • Вопрос задан 9 лет назад

помогите модуль 2-х модуль больше одной третьей

Ответы

Ответ дал: Maŭя
0
Да, больше
Объясняю: 2=2/1, а 2/1=6/3
6/3 больше 1/3
Ответ дал: Maŭя
0
Надеюсь я правильно поняла вопрос
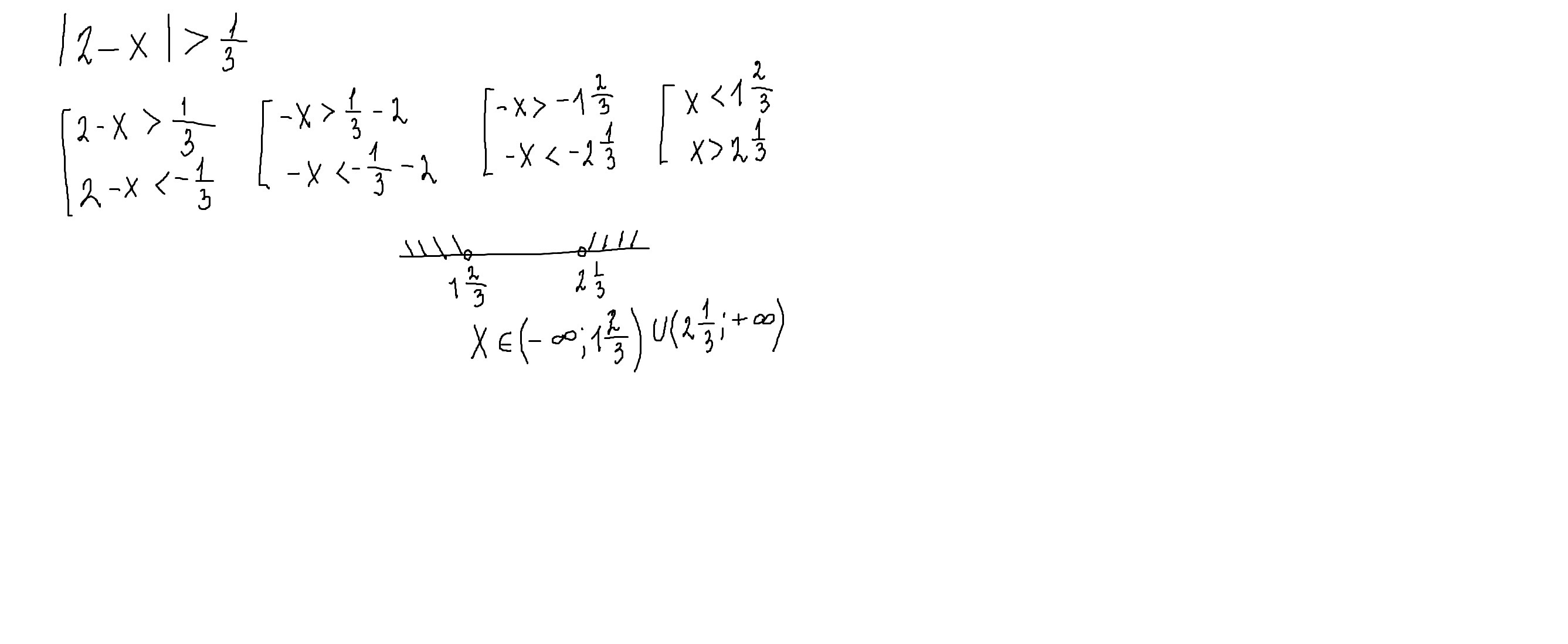
Ответ дал: parus77
0
нет,надо решить неравенство со знаком модуля.
Ответ дал: parus77
0
решение смотри внизу
Приложения:
Вас заинтересует