• Предмет: Математика
  • Автор: АняСтрельникова11
  • Вопрос задан 9 лет назад

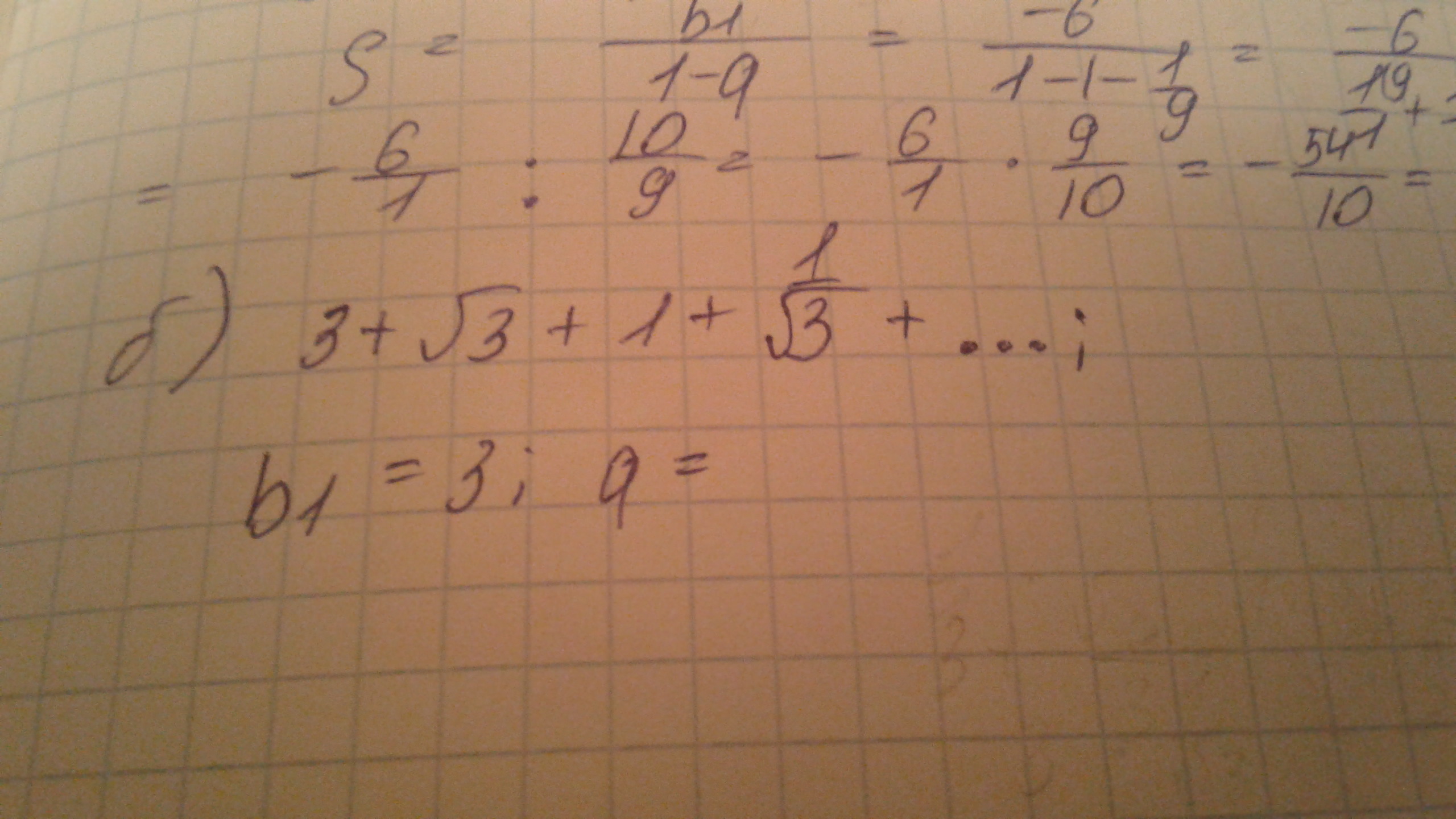
Ребят, будьте друзьями. Помогите ! Нужно вычислить. Какой здесь q?

Приложения:

Ответы

Ответ дал: irishkax1
0
Все исключительно по формуле
q=b2:b1=√3/3
q=√3/3

Вас заинтересует