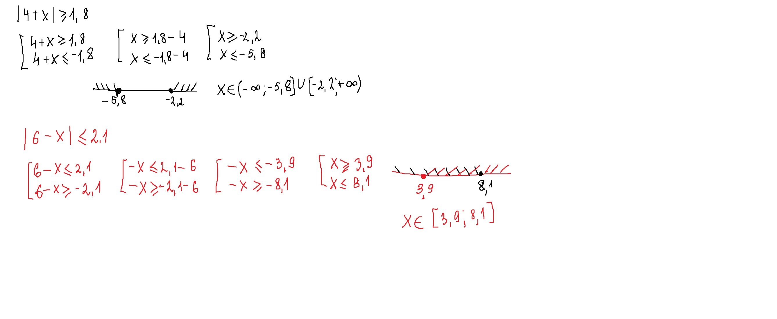
помогите модуль 4+х модуль меньше или ровно 1,8
и еще один пример модуль 6-х модуль меньше или ровно 2,1
Ответы
Ответ дал:
0
смотри решение внизу,если где не понятно-напиши
Приложения:
Вас заинтересует
2 года назад
3 года назад
3 года назад
9 лет назад
9 лет назад
10 лет назад
10 лет назад