Срочно решите пожалуйста
Преобразуйте алгебраическое выражение в многочлен стандартного вида :
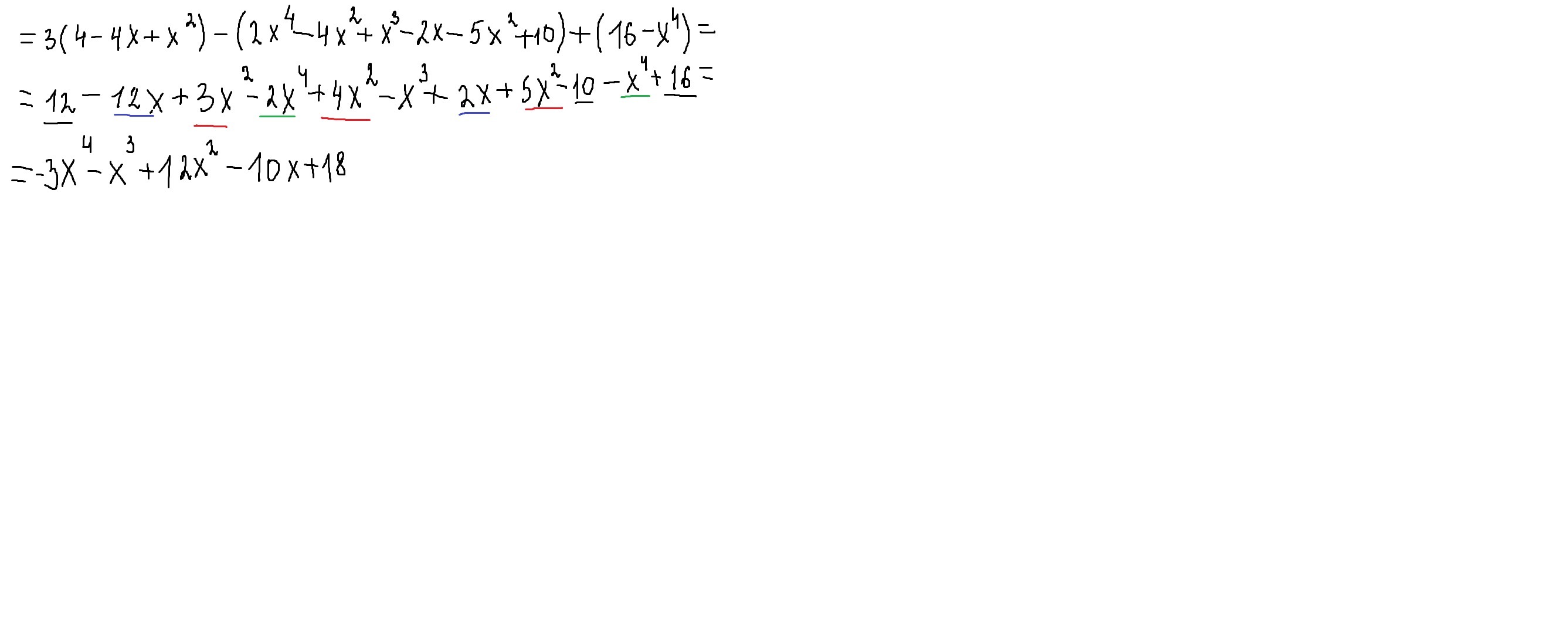
3(2-x)²-(2x²+x-5)(x²-2)+(x²+4)(4-x²)
Спасибо за ранее
Ответы
Ответ дал:
0
решение смотри внизу
Приложения:

Ответ дал:
0
Я не знаю, кто как проверял, но моё решение правильно.
Вас заинтересует
2 года назад
2 года назад
3 года назад
3 года назад
9 лет назад
9 лет назад
9 лет назад