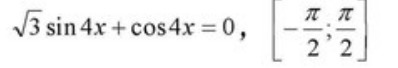
решите уравнение и найдите его корни ,принадлежащие указанному отрезку
ПОМОГИТЕ ПОЖАЛУЙСТА
Приложения:

Ответы
Ответ дал:
0
Решение на фотографии
Приложения:


Вас заинтересует
3 года назад
9 лет назад
9 лет назад
9 лет назад