• Предмет: Алгебра
  • Автор: he11sp0re
  • Вопрос задан 9 лет назад

Помогите пожалуйста сделать!

Приложения:

Ответы

Ответ дал: чика100500
0
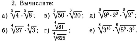
ответы такие по порядку:
2
3
10
0,6
36
45
Вас заинтересует