Ответы
Ответ дал:
0
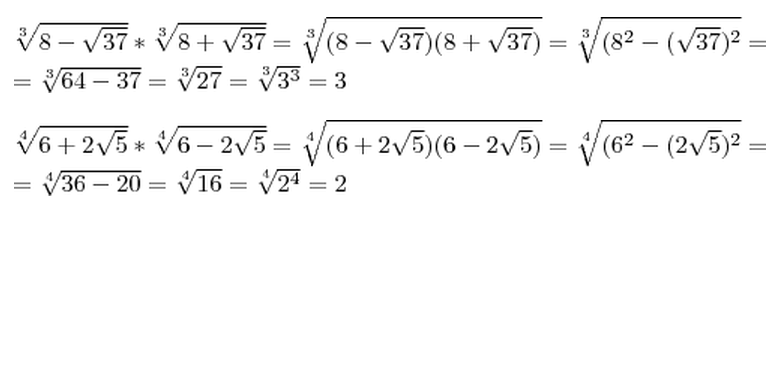
1). =Корень 3 степени от { (8-корень(37))*(8+корень(37)} =корень 3 степени от {8^2 минус корень из 37 в квадрате} = корень 3 степени из {64-37} = 3
Ответ дал:
0
Приложения:

Ответ дал:
0
Это и есть подробное решение. Сейчас прикреплю картинку бывает не отображается правильно
Ответ дал:
0
В чём набираются подобные решения и как их крепить?
Ответ дал:
0
Нашла)))))))))) Спасибо.
Вас заинтересует
2 года назад
2 года назад
8 лет назад
8 лет назад
10 лет назад
10 лет назад