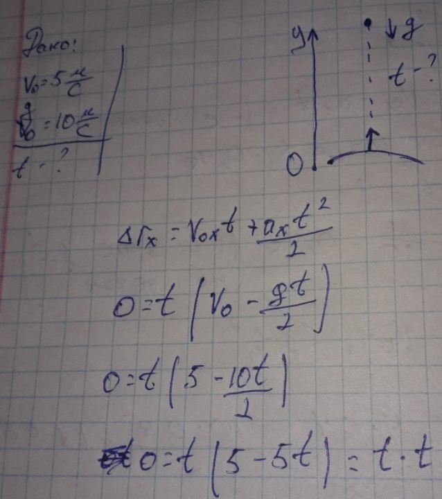
С аэростата, опускающегося с постоянной скоростью, модуль которого V=5 (м/c), бросают вертикально вверх тело со скоростью, модуль которого Vo = 10 (м/с) относительно земли. Через какой промежуток времени тело достигнет аэростата?
На изображении моё решение, но оно неверно, объясните, пожалуйста.
Приложения:

Ответы
Ответ дал:
0
надо 5•10м/с и ето будет V
Ответ дал:
0
Можно поподробнее? Не понял сути решения 5*10/2=25; t=5?
Ответ дал:
0
В ответе t=2c
Вас заинтересует
2 года назад
2 года назад
3 года назад
9 лет назад
9 лет назад